井筒各构件间平面尺寸根据图下图分别计算∶

1-1号罐道粱,宽度为b1;2—2号罐道粱,宽度为b2;3-3号罐道梁,宽度为b 3。

(1)罐道梁间水平中心间距∶

式中 L1,L——两相邻罐道梁水平中心距离,mm; m0————提升容器要求的罐道之间的水平净间距,由罐笼型号确定,mm;h——木质罐道的高度,mm;
Δs———连接处木罐道卡人钢罐梁的深度(或 木罐道切口深度),mm; b1,b2,b3——罐道梁的宽度,mm。
2、梯子间尺寸计算

图解法确定井筒直径步骤如下∶
(1)按计算出的提升间、梯子间平面结构布置尺寸,采用1∶20或1∶50的比例尺绘制井筒构件(装备)布置图,如图L1、L、M、S、d等,按M和S值交点确定E点。
(2)对于切角罐笼的拐角收缩尺寸为△x=△y,可求得B'和C'点。以B'和C'点为圆心,r=△x=△y为半径画圆得出罐笼最突出部分与井壁间的安全界限,再从B'和C'点沿角平分线向外量取A2+r,则得出F或C点。
(3)连接E、F、G三点为△EFG,作该三角形的外接圆,确定圆心0点,井筒半径R=OE=OF=OG可量得,并按井筒直径进级规定进级,量得e值,取为整数。
(4)验算并调整△2、M值∶

(5)用允许最大风速校核井筒断面。
(6)按计算的井筒支护厚度,绘制井筒断面图。
若将E点确定在梯子格短边梯子次梁中时,梯子间平台尺寸稍小,井筒断面可减小,这在管缆较少的井简可取。
解析法确定井筒直径步骤如下∶
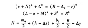
(1)由图中的各构件平面几何关系,可列出下列方程式,并解联立方程求解出R和e值。

当罐道梁宽度相等时用式计算N∶


L1、L、M、S为已知数,代人联立解出R和e。调整井筒直径D符合进级模数要求和e值为整数。
(2)根据确定的R,e值,校核△,、M,使之均符合规定。
(3)按允许的最大风速校核井筒断面。
(4)按比例和计算的井壁厚度绘制井筒断面图。 当M值的梯子次梁改为距井筒中心为d的粱时,则用式联立解得R和e,井筒断面较经济∶ (L-e+M)³+d=R2 当罐笼不切角时,r=△x=Ay=0,罐笼拐角即为B'或C'点。